Wersja nieobowiązująca z dnia

Protokół Nr XVI/16 sesji z dnia 28.10.16

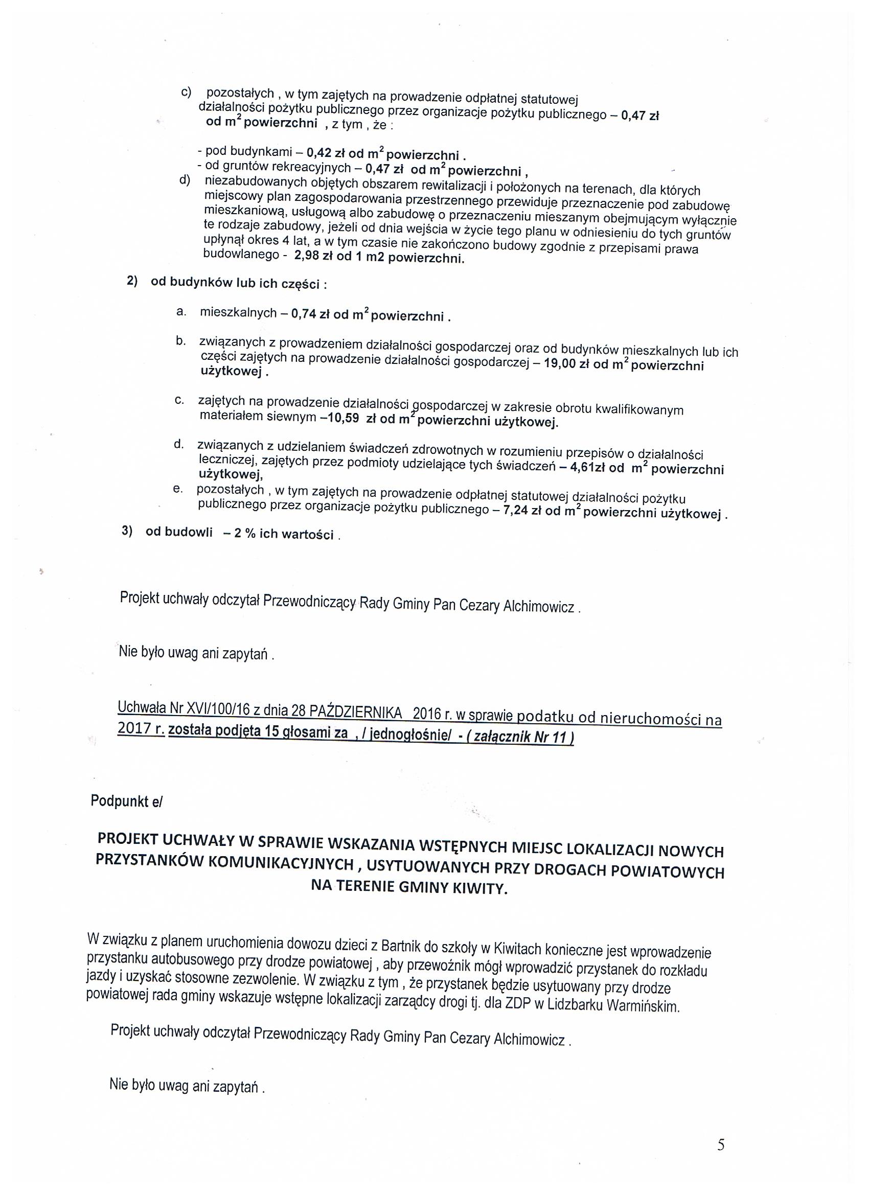
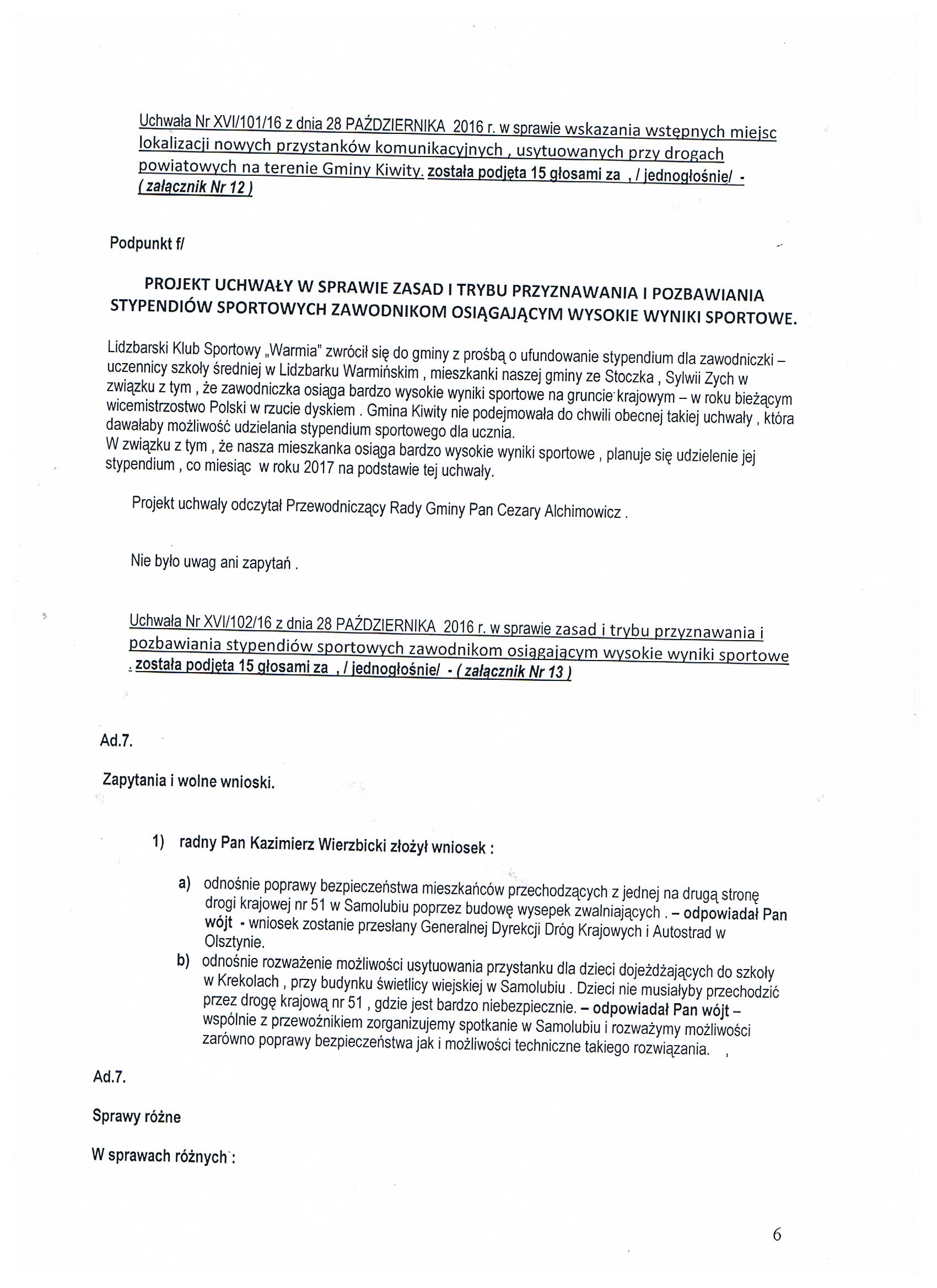
PROTOKÓŁ Z XVI sesji z dnia 28.10.16

Załączniki

  • 1
    format: image/jpeg, rozmiar: 347.23 KB, data dodania:
  • 2
    format: image/jpeg, rozmiar: 235.33 KB, data dodania:
  • 3
    format: image/jpeg, rozmiar: 401.23 KB, data dodania:
  • 4
    format: image/jpeg, rozmiar: 340.41 KB, data dodania:
  • 5
    format: image/jpeg, rozmiar: 379.49 KB, data dodania:
  • 6
    format: image/jpeg, rozmiar: 375.82 KB, data dodania:
  • 7
    format: image/jpeg, rozmiar: 139.14 KB, data dodania:

Wersja nieobowiązująca

Strona może zawierać nieaktualną treść i załączniki. Możesz pozostać na tej stronie lub przejść na wersję z obowiązującą zawartością.